•Solução-3
De acordo com as regras definidoras, conclui-se que
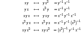
Portanto, os diferentes elementos de
são:
Comprimento 1:
,
, 
Comprimento 2:
, 
Comprimento 3:
,
,
, 
Comprimento 4:
,
(O elemento
já foi contabilizado.)
O grupo não possui elementos de comprimento 5 porque
e
.
Os pares de elementos inversos são:
Observe que estes pares têm de estar juntos dentro ou fora de cada subgrupo de
. Além disso, os subgrupos têm que ter cardinalidade divisora de
. Assim, procuremos subgrupos próprios de ordem
e 
Não existe subgrupo de ordem
.
A determinação de um subgrupo normal pode teóricamente ser feita através do comutador
. O subgrupo gerado por este espaço é
porque, se
, então
onde cada
é da forma
. Como a conjugação é distributível em relação ao produto, basta mostrar que, para
e
,
onde
e análogamente para
.
Mas na prática torna-se mais fácil determinar subgrupos que sejam soma directa de classes de conjugação completas de
.
A tabela de multiplicação de classes é
O único candidato é
já que
e
são as únicas classes contêm os próprios inversos e cujo produto é fechado.
Mathematica
Converted by Mathematica
(October 16, 2002)